Упр.8.19 ГДЗ Мерзляк 10 класс Базовый уровень (Алгебра)
Решение #1

Рассмотрим вариант решения задания из учебника Мерзляк, Номировский, Полонский 10 класс, Вентана-Граф:
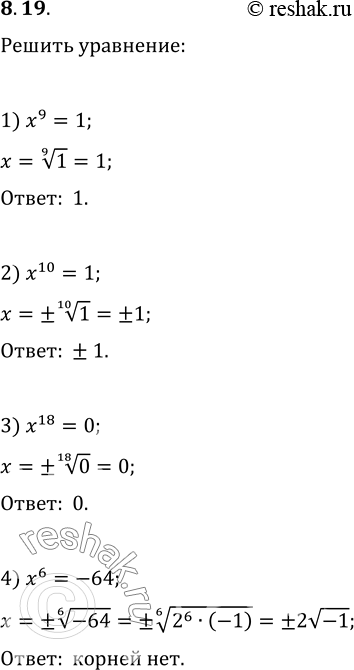
8.19. Решите уравнение:
1) x^9=1; 3) x^18=0; 5) 64x^5+2=0;
2) x^10=1; 4) x^6=-64; 6) (x-3)^6=729.
*размещая тексты в комментариях ниже, вы автоматически соглашаетесь с пользовательским соглашением