Упр.74 ГДЗ Колягин Ткачёва 9 класс (Алгебра)
Решение #1

Рассмотрим вариант решения задания из учебника Колягин, Ткачёва, Фёдорова 9 класс, Просвещение:
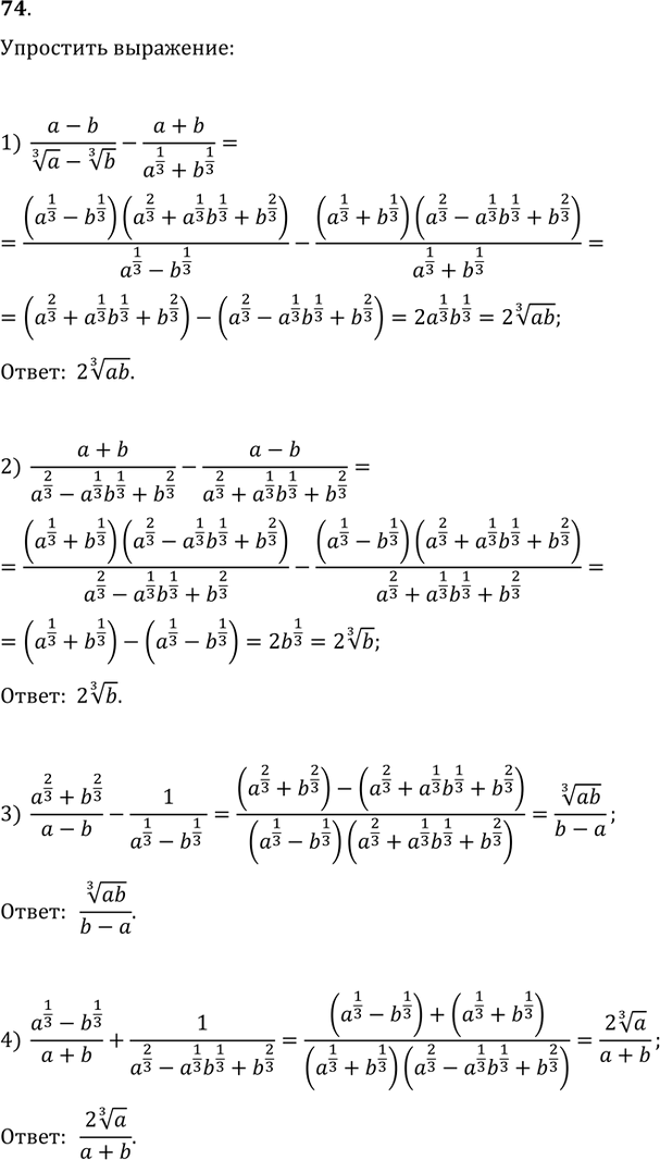
74. Упростить выражение:
1) (a-b)/(a^(1/3)-b^(1/3))-(a+b)/(a^(1/3)+b^(1/3));
2) (a+b)/(a^(2/3)-a^(1/3)b^(1/3)+b^(2/3))-(a-b)/(a^(2/3)+a^(1/3)b^(1/3)+b^(2/3));
3) (a^(2/3)+b^(2/3))/(a-b)-1/(a^(1/3)-b^(1/3));
4) (a^(1/3)-b^(1/3))/(a+b)+1/(a^(2/3)-a^(1/3)b^(1/3)+b^(2/3)).
*размещая тексты в комментариях ниже, вы автоматически соглашаетесь с пользовательским соглашением