Упр.730 ГДЗ Колягин Ткачёва 10 класс (Алгебра)
Решение #1
Решение #2

Рассмотрим вариант решения задания из учебника Колягин, Ткачёва, Фёдорова 10 класс, Просвещение:
Решить уравнение (730-732):
730.
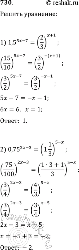
1) 1,5^(5x-7)=(2/3)^(x+1)
2) 0,75^(2x-3)=(1 1/3)^(5-x)
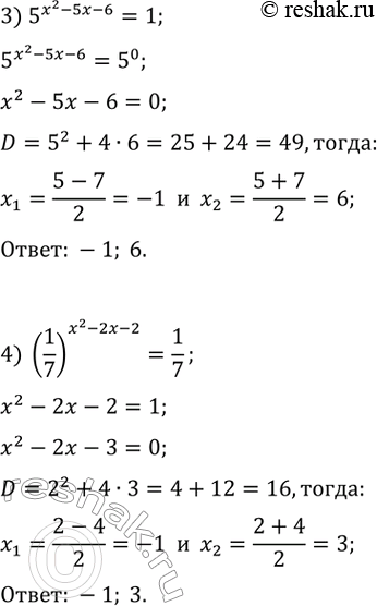
3) 5^(x^2-5x-6)=1
4) (1/7)^(x^2-2x-2)=1/7
*размещая тексты в комментариях ниже, вы автоматически соглашаетесь с пользовательским соглашением