Упр.5.19 ГДЗ Мерзляк 10 класс Базовый уровень (Алгебра)
Решение #1

Рассмотрим вариант решения задания из учебника Мерзляк, Номировский, Полонский 10 класс, Вентана-Граф:
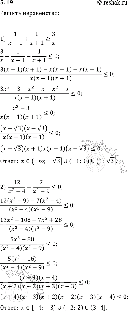
5.19. Решите неравенство:
1) 1/(x-1)+1/(x+1)?3/x; 2) 12/(x^2-4)-7/(x^2-9)?0.
*размещая тексты в комментариях ниже, вы автоматически соглашаетесь с пользовательским соглашением