Упр.5.18 ГДЗ Мерзляк 10 класс Базовый уровень (Алгебра)
Решение #1

Рассмотрим вариант решения задания из учебника Мерзляк, Номировский, Полонский 10 класс, Вентана-Граф:
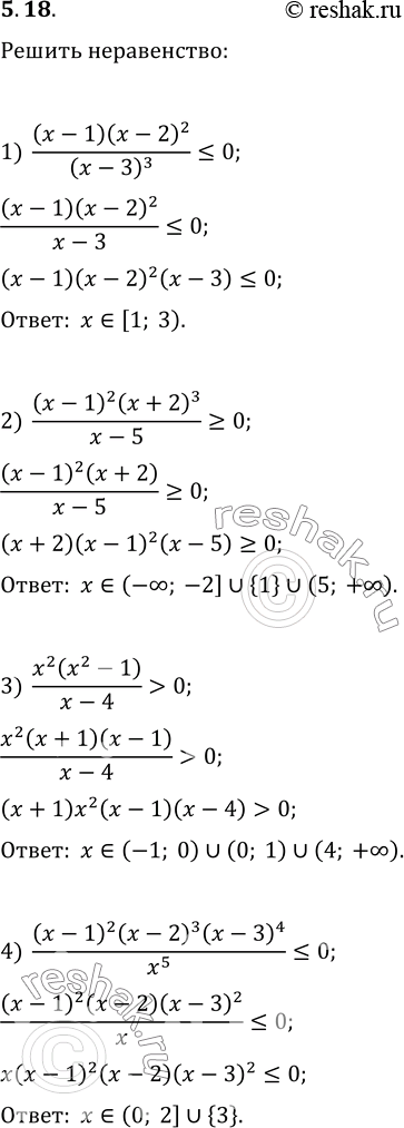
5.18. Решите неравенство:
1) ((x-1)(x-2)^2)/(x-3)^3?0; 3) (x^2(x^2-1))/(x-4)>0;
2) ((x-1)^2(x+2)^3)/(x-5)?0; 4) ((x-1)^2(x-2)^3(x-3)^4)/x^5?0.
*размещая тексты в комментариях ниже, вы автоматически соглашаетесь с пользовательским соглашением