Упр.35.1 ГДЗ Мерзляк 10 класс Базовый уровень (Алгебра)
Решение #1

Рассмотрим вариант решения задания из учебника Мерзляк, Номировский, Полонский 10 класс, Вентана-Граф:
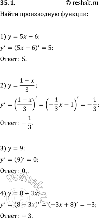
35.1. Найдите производную функции:
1) y=5x-6; 2) y=(1-x)/3; 3) y=9; 4) y=8-3x.
*размещая тексты в комментариях ниже, вы автоматически соглашаетесь с пользовательским соглашением