Упр.32.11 ГДЗ Мордкович Семенов 7 класс (Алгебра)
Решение #1

Рассмотрим вариант решения задания из учебника Мордкович, Семенов, Александрова 7 класс, Бином:
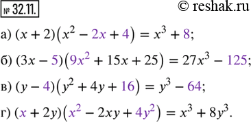
32.11. Замените символ * одночленами гак, чтобы получилось верное равенство:
а) (х + 2)(x^2 — * + *) = x^3 + *;
б) (3х - *)(* + 15x + 25) = 27х^3 - *;
в) (у — *)(y^2 + 4у + *) = у^3 — *;
г) (* + 2у)(* - 2ху + *) = х^3 + 8у^3.
*размещая тексты в комментариях ниже, вы автоматически соглашаетесь с пользовательским соглашением