Упр.30.3 ГДЗ Мерзляк 10 класс Базовый уровень (Алгебра)
Решение #1

Рассмотрим вариант решения задания из учебника Мерзляк, Номировский, Полонский 10 класс, Вентана-Граф:
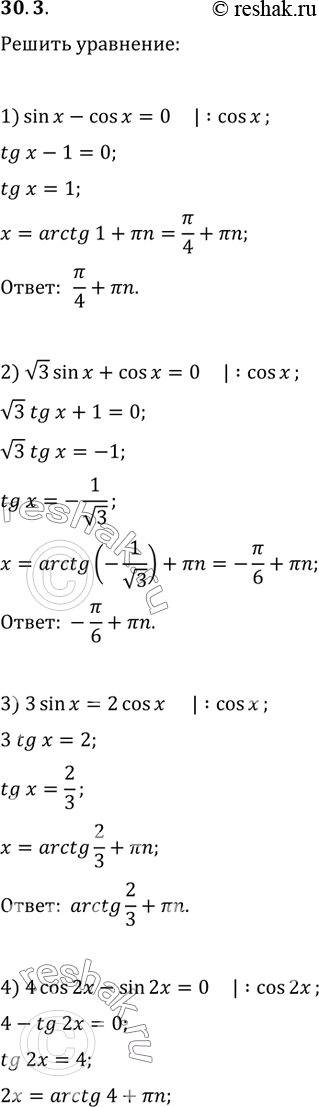
30.3. Решите уравнение:
1) sin(x)-cos(x)=0; 5) sin(x/3)+5cos(x/3)=0;
2) v3sin(x)+cos(x)=0; 6) sin^2(x)-5sin(x)cos(x)+4cos^2(x)=0;
3) 3sin(x)=2cos(x); 7) sin^2(x/2)-3sin(x/2)cos(x/2)+2cos^2(x/2)=0;
4) 4cos(2x)-sin(2x)=0; 8) 3sin^2(x)-2v3sin(x)cos(x)+cos^2(x)=0.
*размещая тексты в комментариях ниже, вы автоматически соглашаетесь с пользовательским соглашением