Упр.269 ГДЗ Никольский Потапов 9 класс (Алгебра)

Решение #1

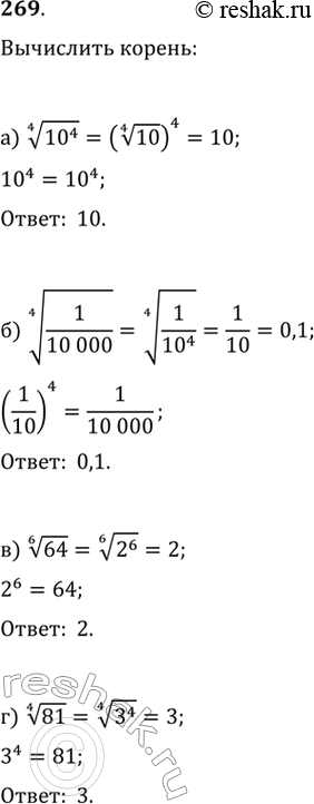
Изображение 269. Вычислите корень: a) корень четвертой степени из 10 ^4; б) корень четвертой степени из 1/10000; в) корень шестой степени из 64; г) корень четвертой степени из...

Решение #2

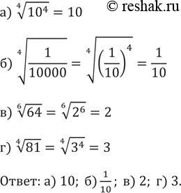
Изображение 269. Вычислите корень: a) корень четвертой степени из 10 ^4; б) корень четвертой степени из 1/10000; в) корень шестой степени из 64; г) корень четвертой степени из...

Рассмотрим вариант решения задания из учебника Никольский, Потапов 9 класс, Просвещение:
269. Вычислите корень: a) корень четвертой степени из 10 ^4; б) корень четвертой степени из 1/10000; в) корень шестой степени из 64; г) корень четвертой степени из 81.
Докажите правильность решения.
*Цитирирование задания со ссылкой на учебник производится исключительно в учебных целях для лучшего понимания разбора решения задания.
*размещая тексты в комментариях ниже, вы автоматически соглашаетесь с пользовательским соглашением