Упр.24.5 ГДЗ Мордкович Семенов 7 класс (Алгебра)
Решение #1

Рассмотрим вариант решения задания из учебника Мордкович, Семенов, Александрова 7 класс, Бином:
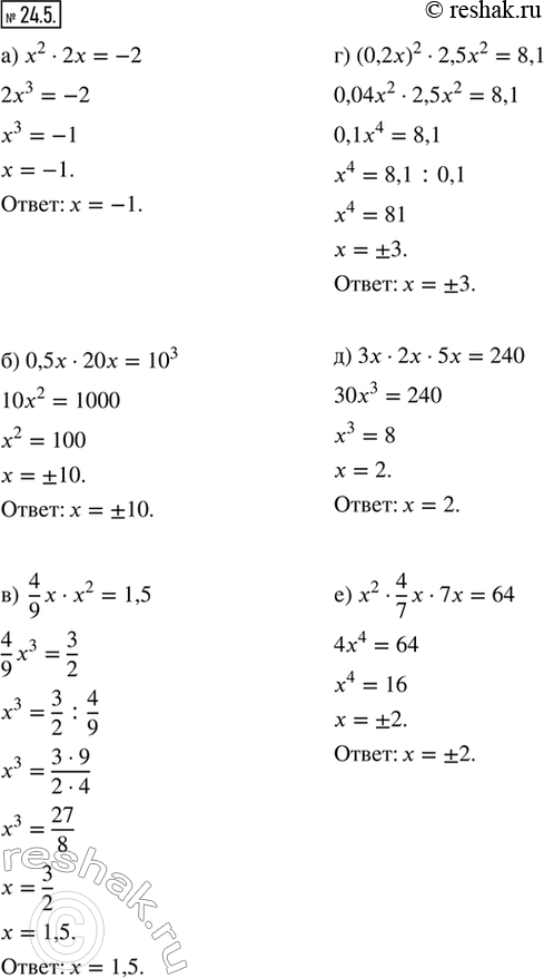
24.5. Решите уравнение:
а) x^2 · 2x = -2; г) (0,2x)^2 · 2,5x^2 = 8,1;
б) 0,5x · 20x = 10^3; д) 3x · 2x · 5x = 240;
в) 4/9 x · x^2 = 1,5; е) x^2 · 4/7 x · 7x = 64.
*размещая тексты в комментариях ниже, вы автоматически соглашаетесь с пользовательским соглашением