Упр.24.12 ГДЗ Мерзляк 10 класс Базовый уровень (Алгебра)
Решение #1

Рассмотрим вариант решения задания из учебника Мерзляк, Номировский, Полонский 10 класс, Вентана-Граф:
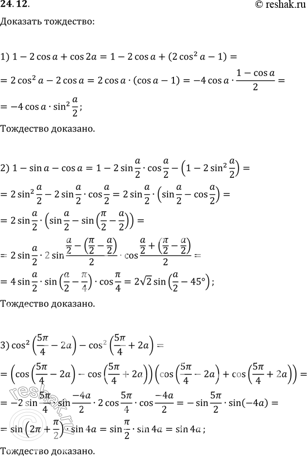
24.12. Докажите тождество:
1) 1-2cos(a)+cos(2a)=-4cos(a)sin^2(a/2);
2) 1-sin(a)-cos(a)=2v2sin(a/2)sin(a/2-45°);
3) cos^2(5?/4-2a)-cos^2(5?/4+2a)=sin(4a).
*размещая тексты в комментариях ниже, вы автоматически соглашаетесь с пользовательским соглашением