Упр.23.5 ГДЗ Мордкович Семенов 7 класс (Алгебра)
Решение #1

Рассмотрим вариант решения задания из учебника Мордкович, Семенов, Александрова 7 класс, Бином:
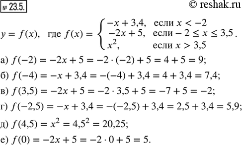
23.5. Дана функция у = f(x), где f(x) = {-x + 3,4, если x < -2; -2x + 5, если -2 ? x ? 3,5; x^2, если x > 3,5}.
Вычислите:
а) f(-2); в) f(3,5); д) f(4,5);
б) f(-4); г) f(-2,5); е) f(0).
*размещая тексты в комментариях ниже, вы автоматически соглашаетесь с пользовательским соглашением