Упр.23.34 ГДЗ Мерзляк 10 класс Базовый уровень (Алгебра)
Решение #1

Рассмотрим вариант решения задания из учебника Мерзляк, Номировский, Полонский 10 класс, Вентана-Граф:
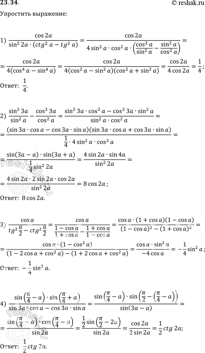
23.34. Упростите выражение:
1) cos(2a)/(sin^2(2a)(ctg^2(a)-tg^2(a)));
2) sin^2(3a)/sin^2(a)-cos^2(3a)/cos^2(a);
3) cos(a)/(tg^2(a/2)-ctg^2(a/2));
4) (sin(?/4-a)sin(?/4+a))/(sin(3a)cos(a)-cos(3a)sin(a)).
*размещая тексты в комментариях ниже, вы автоматически соглашаетесь с пользовательским соглашением