Упр.20.2 ГДЗ Мерзляк 10 класс Базовый уровень (Алгебра)
Решение #1

Рассмотрим вариант решения задания из учебника Мерзляк, Номировский, Полонский 10 класс, Вентана-Граф:
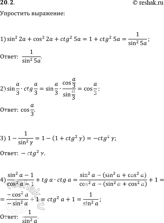
20.2. Упростите выражение:
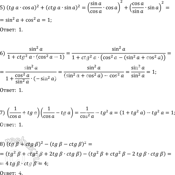
1) sin^2(2a)+cos^2(2a)+ctg^2(5a); 5) (tg(a)cos(a))^2+(ctg(a)sin(a))^2;
2) sin(a/3)ctg(a/3); 6) (sin^2(a))/(1+ctg^2(a)(cos^2(a)-1));
3) 1-1/(sin^2(?)); 7) (1/cos(a)+tg(a))(1/cos(a)-tg(a));
4) (sin^2(a)-1)/(cos^2(a)-1)+tg(a)ctg(a); 8) (tg(?)+ctg(?))^2-(tg(?)-ctg(?))^2.
*размещая тексты в комментариях ниже, вы автоматически соглашаетесь с пользовательским соглашением