Упр.14.6 ГДЗ Мерзляк 10 класс Базовый уровень (Алгебра)
Решение #1

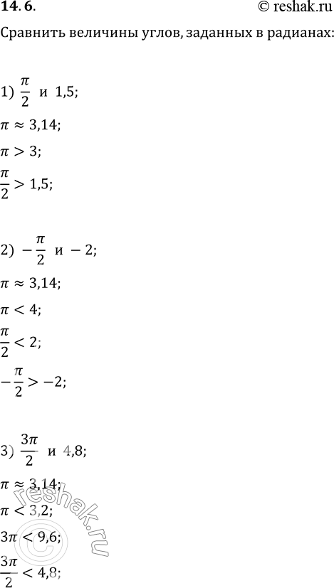
Рассмотрим вариант решения задания из учебника Мерзляк, Номировский, Полонский 10 класс, Вентана-Граф:
14.6. Сравните величины углов, заданных в радианах:
1) Пи/2 и 1,5; 2) -Пи/2 и -2; 3) 3Пи/2 и 4,8.
*размещая тексты в комментариях ниже, вы автоматически соглашаетесь с пользовательским соглашением