Упр.10.25 ГДЗ Мерзляк 10 класс Базовый уровень (Алгебра)
Решение #1

Рассмотрим вариант решения задания из учебника Мерзляк, Номировский, Полонский 10 класс, Вентана-Граф:
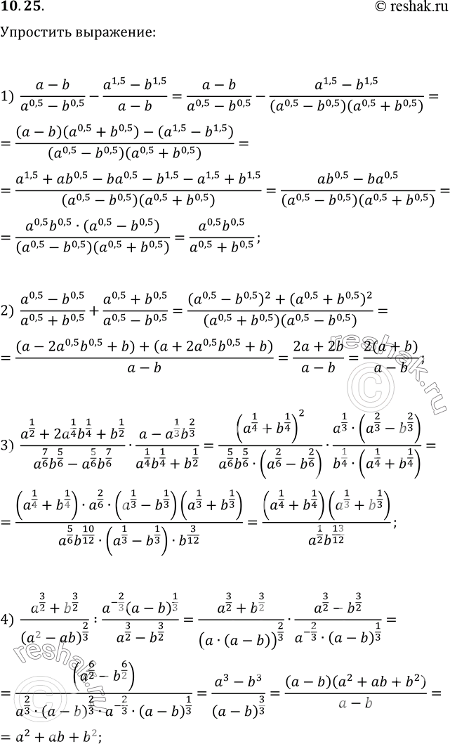
10.25. Упростите выражение:
1) (a-b)/(a^0,5-b^0,5)-(a^1,5-b^1,5)/(a-b);
2) (a^0,5-b^0,5)/(a^0,5+b^0,5)+(a^0,5+b^0,5)/(a^0,5-b^0,5);
3) (a^(1/2)+2a^(1/4) b^(1/4)+b^(1/2))/(a^(7/6) b^(5/6)-a^(5/6) b^(7/6))·(a-a^(1/3) b^(2/3))/(a^(1/4) b^(1/4)+b^(1/2));
4) (a^(3/2)+b^(3/2))/(a^2-ab)^(2/3):(a^(-2/3)(a-b)^(1/3))/(a^(3/2)-b^(3/2).
*размещая тексты в комментариях ниже, вы автоматически соглашаетесь с пользовательским соглашением