Упр.10.13 ГДЗ Мерзляк 10 класс Базовый уровень (Алгебра)
Решение #1

Рассмотрим вариант решения задания из учебника Мерзляк, Номировский, Полонский 10 класс, Вентана-Граф:
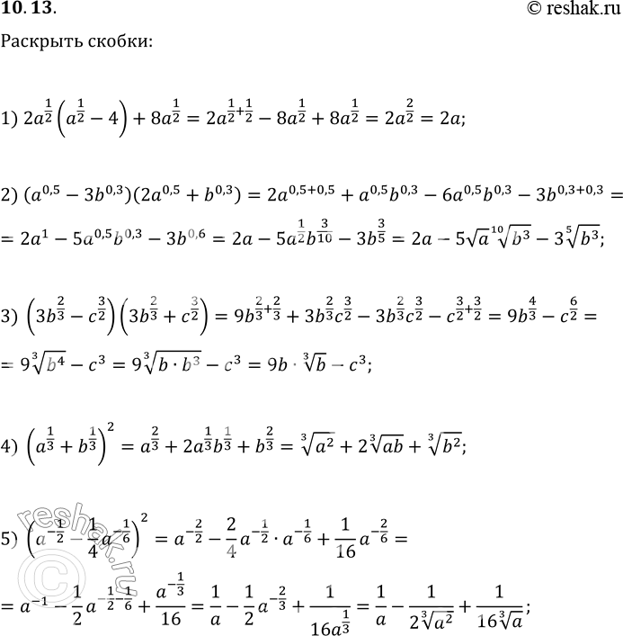
10.13. Раскройте скобки:
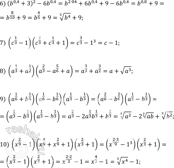
1) 2a^(1/2)(a^(1/2)-4)+8a^(1/2); 6) (b^0,4+3)^2-6b^0,4;
2) (a^0,5-3b^0,3)(2a^0,5+b^0,3); 7) (c^(1/3)-1)(c^(2/3)+c^(1/3)+1);
3) (3b^(2/3)-c^(3/2))(3b^(2/3)+c^(3/2)); 8) (a^(1/3)+a^(1/2))(a^(2/3)-a^(5/6)+a);
4) (a^(1/3)+b^(1/3))^2; 9) (a^(1/6)+b^(1/6))(a^(1/6)-b^(1/6))(a^(1/3)-b^(1/3));
5) (a^(-1/2)-(1/4)a^(-1/6))^2; 10) (x^(2/9)-1)(x^(4/9)+x^(2/9)+1)(x^(2/3)+1).
*размещая тексты в комментариях ниже, вы автоматически соглашаетесь с пользовательским соглашением