Упр.609 ГДЗ Никольский Потапов 8 класс (Алгебра)
Решение #1

Рассмотрим вариант решения задания из учебника Никольский, Потапов 8 класс, Просвещение:
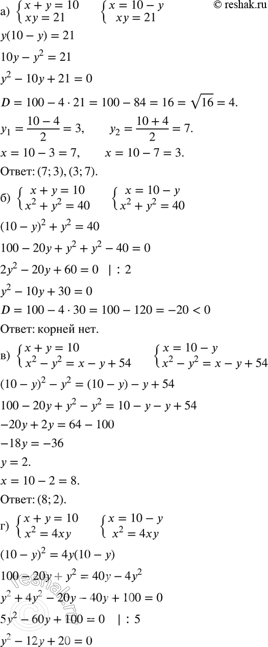
609 Из «Алгебры» аль-Хорезми (VII—VIII вв.).
а) система
x+y=10,
xy=21;
б) система
x+y=10,
x2+y2=40;
в) система
x+y=10,
x2-y2=x-y+54;
г) система
x+y=10,
x2=4xy;
д) система
x+y=10,
(x+y)2=2*7/9*x2;
е) система
x+y=10,
x/y+y/x=2*1/6;
ж) система
x+y=10,
y2=81x;
з) система
x+y=10,
xy:|y-x| = 5*1/4.
*размещая тексты в комментариях ниже, вы автоматически соглашаетесь с пользовательским соглашением