Упр.354 ГДЗ Никольский Потапов 8 класс (Алгебра)
Решение #1

Рассмотрим вариант решения задания из учебника Никольский, Потапов 8 класс, Просвещение:
354. а) 2х3 + х2 - 13х + 6 = 0;
б) 2х3 - х2 - 13х - 6 = 0;
в) 3х3 + 4х2 + 7х + 2 = 0;
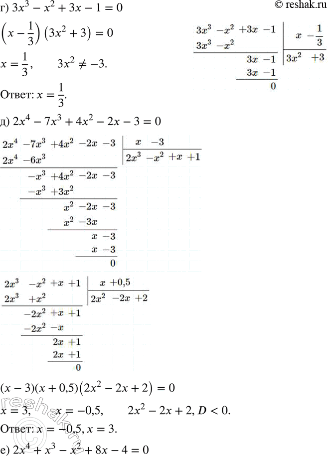
г) 3х3 - х2 + 3х - 1 = 0;
д) 2х4 - 7х3 + 4х2 - 2х - 3 = 0;
е) 2х4 + х3 - х2 + 8х - 4 = 0.
*размещая тексты в комментариях ниже, вы автоматически соглашаетесь с пользовательским соглашением